yl6809永利官网yl6809永利官网冯闯教授团队在中科院一区Top期刊Computer Methods in Applied Mechanics and Engineering(计算力学领域排名第二, IF=6.756,)上,发表了题为“Nonlinear vibration of FG-GPLRC dielectric plate with active tuning using differential quadrature method”的研究论文。永利官网为第一完成单位和通讯单位,第一作者为王宇博士,冯闯教授为独立通讯作者,王曙光院长和周叮教授协助指导,共同作者还有皇家墨尔本理工大学杨杰教授。
作为一种新型碳纳米材料,由于特殊的微观结构,石墨烯具有优异的力学性能和介电性能,在各领域有着广泛的潜在应用。将石墨烯作为增强相分散到介电聚合物中,形成石墨烯增强介电复合材料,既可以增强材料的结构性能,使其能够承受更大的载荷,也可以提高材料的介电性能,使其在外电场的激励下产生更显著的响应。然而对于如何考虑这种介电复合材料智能结构的介电性能并建立理论模型进行结构分析,相关的研究工作较少,而这对于石墨烯增强介电复合材料智能结构的设计和性能预测及其工程中潜在应用至关重要。
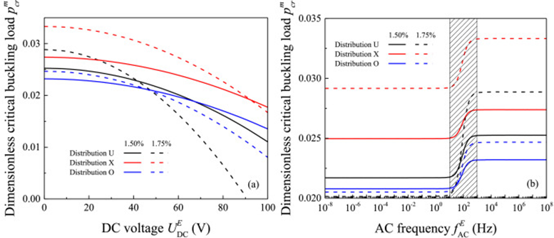
基于此背景,冯闯教授团队采用有效介质理论(Effective Medium Theory, EMT)同时估算了石墨烯增强介电复合材料的力学性能和介电性能,并使用微分求积法(Differential Quadrature Method, DQM)建立了功能梯度石墨烯增强复合材料介电板在电场作用下非线性振动的数值计算模型。通过上述数值计算模型,分析了不同参数对功能梯度石墨烯增强复合材料介电板非线性振动性能的影响。结果表明,调整石墨烯增强复合材料介电板中石墨烯的分布方式、体积含量、材料梯度,调节外加电场的电压和频率,能够显著影响结构的非线性振动响应,为功能梯度石墨烯增强复合材料介电板的设计优化提供了理论参考。
文章在线网址:https://doi.org/10.1016/j.cma.2021.113761
作者:yl6809永利官网 审核:方海



